быстрый поиск:

последние за вчера, 21.08.12  
переводика рекомендует  
Война и Мир
Глобальная Авантюра
Усадьба Урсы
Хуторок
Сделано у нас, в России!
ОНОЛИТЕГИ.РУ
ПОБЕДИТЕЛИ — Солдаты Великой Войны
Контра Версия
Российская газета
 
опубликовано редакцией на Переводике 17.08.12 08:50
скаут: Игорь Львович; переводчик Игорь Львович; публикатор: Публикатор
   
 

За кулисами Бильдерберга

Гаван Рейлли (Gavan Reilly)

От переводчика: статья даётся в сокращении

Документы, разосланные всем участникам, включая Майкла Нунана, помогают представить в общих чертах проведения культуру конфиденциальных встреч сильных мира сего.

Министр финансов Майкл Нунан был одним из трех ирландцев - участников конференции Бильдербергского клуба этого года, неафишируемой встречи самых влиятельных фигур в политике, бизнесе и СМИ.

Бильдерберг - одна из самых скрытных групп в мире, обладающая огромным влиянием и возможностями, собирает представителей политического, финансового, дипломатического, корпоративного и медиа-миров на конфиденциальной четырехдневной встрече, для обсуждения всевозможных чувствительных тем.

Сегодня TheJournal.ie имеет возможность пролить свет на некоторые вопросы внутренней кухни Бильдербергской конференции – ежегодной встречи, где влиятельные и могущественные люди собираются, чтобы обсудить ситуацию в мире и пути её улучшения.

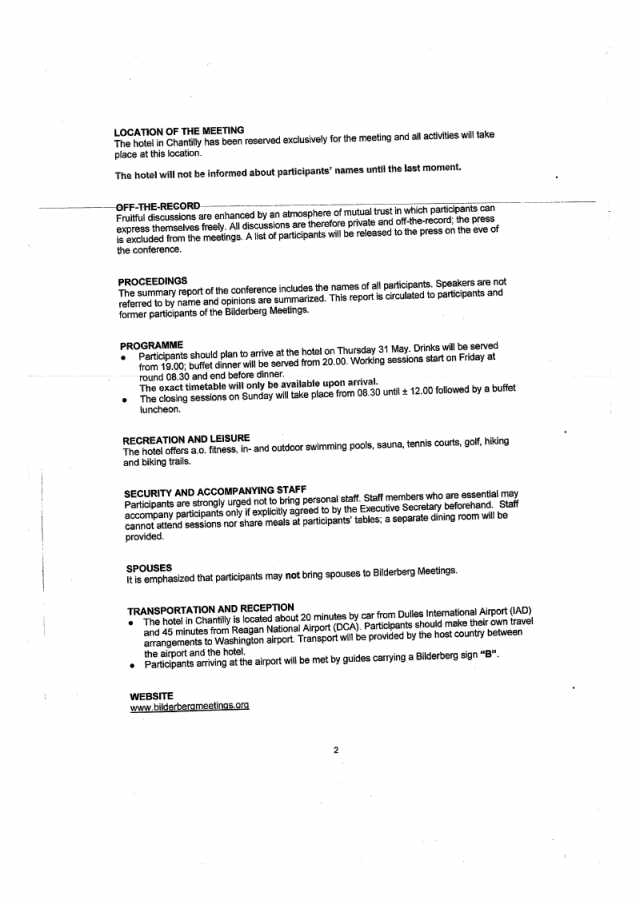
В связи с тем, что в Конференции участвовал министр финансов Ирландии Майкл Нунан, и в соответствии с Законом о свободе информации, были затребованы и получены документы об этой встрече. Они раскрывают полную повестку Конференции 2012 года (см. фото 1).

Они также предоставляют ранее неподтверждавшиеся детали протокола и методики проведения встречи «только-для-приглашенных» (см. фото 2 и 3), секретность этой встречи часто служит почвой для обвинений, что конечной целью группы является - или продвижение капитализма во всем мире или формирование единого глобального правительства.

Конференция 2012 года проходила в пригороде Вашингтона, округ Колумбия, во время июньских банковских каникул.

Участие министра [финансов Ирландии Майкла Нунана] во встрече стоило в общей сложности 4366 евро – три четверти этой суммы это стоимость авиабилетов, плюс счет за гостиницу - 1,161$ (отель Marriott Westfields размещал участников в номерах по 355$ за ночь, плюс налоги), и ещё 261 евро на другие расходы.

«Поэтому все обсуждения не подлежат огласке»

Документы информируют участников о будничных деталях этого ежегодного мероприятия, включая дресс-код (повседневный костюм для дневного времени, торжественная одежда для ужинов) и сообщают, что личный обслуживающий персонал не приветствуется, если только его присутствие не согласовано заранее.

«Участники присутствуют [на конференции] в качестве частных лиц, независимо от их официального положения» говорится в документе.

Единственной целью дебатов является обмен мнениями по проблемам заявленым в программе, из этого обмена мнениями участники свободны делать свои собственные выводы.

В документах подчеркивается, что после встречи не выпускается никаких формальных коммюнике, не проводится голосование по каким бы то ни было резолюциям, все обсуждения имеют место на основе - «строго-не-для-цитирования» .

“Атмосфера взаимного доверия стимулирует плодотворные обсуждения, в которых участники могут высказываться свободно” - было сказано участникам встречи.

Поэтому, все обсуждения конфиденциальные и не подлежат огласке; пресса на встречу не допускается.

Никаких помощников, никаких супруг.

.........

Этот список (см. фото 4, 5, 6), однако, может быть неполным: репортеры, освещавшие конференцию, сказали, что, как они поняли, на встрече присутствовали кандидат в президенты Митт Ромни и основатель Microsoft Билл Гейтс. Но их имена не значились ни в одном списке.

Также, предварительная программа конференции отличается от изданной официальной 'заключительной' версии . Среди тем предварительно предложенных для обсуждения были «Трансатлантические отношения», «Путин 2.0», «Энергетические политика и геополитика», «ядерная угроза Ирана», «нестабильность на Ближнем Востоке» и «экономические и политические перспективы Китая». Темы, перечисленные как обсуждаемые, но не включенные в первоначальный перечень, включают в себя «американскую внешнюю политику» и «обсуждение устойчивости евро».

Среди других участников конференции 2012 года были президенты ECB и Всемирного банка, королева Нидерландов и наследный принц Бельгии, три комиссара Евросоюза и руководители многих ведущих компаний в мире включая Google и Голдман Сакс.

......................................

Фото 1
Строго конфиденциально Не для распространения
Бильдербергская встреча
Шантильи, Вирджиния, США
31 мая - 3 июня 2012 года
Предварительная программа дискуссий

Состояние Трансатлантических отношений
Будущее демократии в развивающихся странах
Возможен ли интенсивный экономический рост?
Политический ландшафт США
Европейский политический ландшафт
Энергетическая политика и геополитика
Стабильность и нестабильность на Ближнем Востоке
Дисбаланс, жесткие меры экономии и рост
Что означает Путин 2.0?
Что Запад может предпринять по поводу Ирана?
Как суверенные государства могут сотрудничать в киберпространстве?
Экономические и политические перспективы Китая
Текущие события


Фото 2
Фото 3

Фото 4

Фото 5

Фото 6


статью прочитали: 3765 человек

   
теги: Бильдербергский клуб  
   
Комментарии 

Сегодня статей опубликовано не было.

slavix, 18.08.2012 19:08:11
Почему никто не замечает и не комментирует участие бывшего министра иностранных дел Игоря Иванова?

Ivanov, Igor S.
Associate member, Russian Academy of Science; President, Russian International Affairs Council
metra, 17.08.2012 19:34:51
Разогнать надо обязательно.
Человек Никто, 17.08.2012 14:22:35
Участники:
RUS Chubais, Anatoly B. CEO, OJSC ROSNANO
RUS Kasparov, Garry Chairman, United Civil Front (of Russia)

Государственный чиновник и кривозащитник на службе у мирового капитала.
Человек Никто, 17.08.2012 14:22:18
Участники:
RUS Chubais, Anatoly B. CEO, OJSC ROSNANO
RUS Kasparov, Garry Chairman, United Civil Front (of Russia)

Государственный чиновник и кривозащитник на службе у мирового капитала.

Комментарии возможны только от зарегистрированных пользователей, пожалуйста зарегистрируйтесь


© 2009-2012  Создание сайта - "Студия СПИЧКА" , Разработка дизайна - "Арсента"